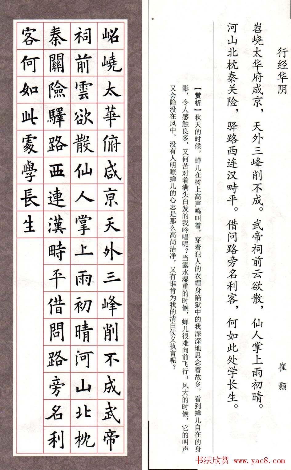
欧楷字帖《欧阳询书法集字七言律诗七首》 2013/11/16 作者:书法欣赏 来源:www.yac8.com 阅读:686816 欧体楷书字帖欣赏:《欧阳询书法集字七言律诗七首》九宫格版,高清晰书法字帖图片77张。 上一页跳页下一页该文章所属专题:欧阳询书法 上一条 欧体楷书集字帖《论语》繁简体米字格版 下一条 朱熹榜书字帖欣赏繁体千字文